데이터 분석의 기초가 되는 통계학의 기초를 공부한 내용을 정리한다.
색인
통계(통계)

1. 회귀 모델
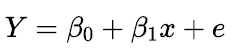
1.1. 회귀 모델
응답 변수 Y와 독립 변수 X 간의 관계가 다음과 같이 선형이라는 가정을 기반으로 합니다.

e는 관찰에 혼합된 노이즈입니다.
1.2. 모델의 가정
n개의 데이터가 관찰되면 n개의 데이터 순서 쌍(x, y)은 다음과 같이 모델링됩니다.

다음 중 e가 독립이라고 가정하고 평균 0 분산 σ²의 분포를 따르는 경우를 가장 잘 설명하는 선형 모델은 무엇입니까?
2. 회귀선형방정식의 추정(최소자승법의 의미)
2.1 회귀선
데이터와 직선 사이의 수직 거리(오차)의 제곱의 합을 최소화하는 직선을 최적 직선이라고 합니다.

3. 회귀 선형 방정식 검증 및 심각도 구간
3.1 결정계수
회귀 모델을 사용하여 얼마나 많은 효용을 얻었는지 측정합니다.
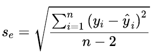
샘플 표준편차

회귀 표준 오차
.

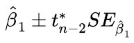
3.2. 기울기에 대한 신뢰 구간
회귀선은 데이터가 변경될 때마다 변경됩니다.
신뢰 구간 필요

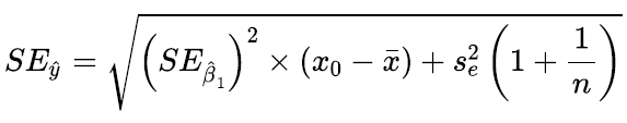
3.3 예측의 신뢰 구간

마치다
표본의 표준편차 오류와 같은 개념은 혼란스럽습니다.
여러 사례를 접하면서 헷갈리는 개념을 줄여야 할 것 같습니다.